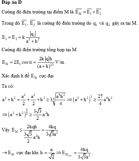
Cho hai điện tích điểm C đặt tại hai điểm cố định A, B cách nhau một khoảng 2a m trong không khí. Trên đường trung trực của AB tại vị trí mà cường độ điện trường có cường độ cực đại. Giá trị cực đại đó là
A.
B.
C.
D.
Quảng cáo
3 câu trả lời 533
Quảng cáo
Bạn cần hỏi gì?
Câu hỏi hot cùng chủ đề
-
Đã trả lời bởi chuyên gia
153215 -
Đã trả lời bởi chuyên gia
130136 -
Đã trả lời bởi chuyên gia
111343 -
Đã trả lời bởi chuyên gia
106728 -
Đã trả lời bởi chuyên gia
71482
Gửi báo cáo thành công!


