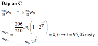
Lúc đầu có một mẫu Poloni nguyên chất phóng xạ phát ra hạt α và biến thành hạt nhân X. Tại thời điểm khảo sát, người ta biết được tỉ số giữa khối lượng X và khối lượng Poloni còn lại trong mẫu vật là 0,6. Cho biết chu kì bán rã của Poloni là T = 138 ngày. Tuổi của mẫu vật là
A. 151,13 ngày. B. 93,17 ngày.
C. 95,02 ngày. D. 123,23 ngày.
Quảng cáo
1 câu trả lời 6617
Quảng cáo
Bạn cần hỏi gì?
Câu hỏi hot cùng chủ đề
-
Đã trả lời bởi chuyên gia
153396 -
Đã trả lời bởi chuyên gia
130334 -
Đã trả lời bởi chuyên gia
112753 -
Đã trả lời bởi chuyên gia
106968 -
Đã trả lời bởi chuyên gia
71725
Gửi báo cáo thành công!

