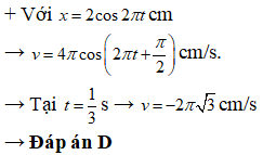
Một chất điểm dao động điều hoà theo phương trình (x tính bằng cm; t tính bằng s). Tại thời điểm s chất điểm có vận tốc bằng
Quảng cáo
1 câu trả lời 277
Quảng cáo
Bạn muốn hỏi bài tập?
Câu hỏi hot cùng chủ đề
-
153203
-
110953
-
106707
-
71461
Gửi báo cáo thành công!

