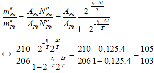
Poloni là một chất phóng xạ phát ra một hạt và biến thành hạt nhân chì . Cho rằng toàn bộ hạt nhân chì sinh ra đều có trong mẫu chất. Tại thời điểm tỉ số giữa hạt và số hạt có trong mẫu là . Tại thời điểm thì tỉ số đó là . Tại thời điểm 0 thì tỉ số giữa khối lượng của hạt và 2có trong mẫu là
Quảng cáo
1 câu trả lời 8413
Quảng cáo
Bạn cần hỏi gì?
Câu hỏi hot cùng chủ đề
-
Đã trả lời bởi chuyên gia
153228 -
Đã trả lời bởi chuyên gia
130146 -
Đã trả lời bởi chuyên gia
111744 -
Đã trả lời bởi chuyên gia
106765 -
Đã trả lời bởi chuyên gia
71498
Gửi báo cáo thành công!


