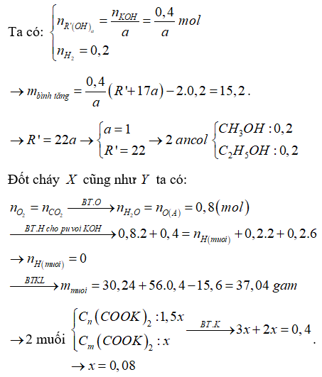
Cho hỗn hợp A gồm X, Y là hai este đều mạch hở, không phân nhánh và không chứa nhóm chức khác . Khi đốt cháy X cũng như Y với lượng vừa đủ thì số mol đã phản ứng bằng số mol thu được. Đun nóng 30,24 gam hỗn hợp A (số mol X gấp 1,5 lần số mol Y) cần dùng 400 ml dung dịch KOH 1M, thu được hỗn hợp B chứa 2 ancol và hỗn hợp D chứa 2 muối. Dẫn toàn bộ B qua bình đựng Na dư thấy khối lượng bình tăng 15,2 gam. Đốt cháy hoàn toàn hỗn hợp D cần dùng 0,42 mol . Tổng số nguyên tử có trong Y là:
A. 21
B. 20
C. 22
D. 19
Quảng cáo
1 câu trả lời 970
Quảng cáo
Bạn muốn hỏi bài tập?
Câu hỏi hot cùng chủ đề
Gửi báo cáo thành công!


