Đốt cháy hoàn toàn 0,01 mol một loại chất béo thì thu được 12,768 lít khí (đktc) và 9,18 gam . Mặt khác khi cho 0,3 mol chất béo trên tác dụng với dung dịch 0,5M thì thể tích dung dịch tối đa phản ứng là V lít. Giá trị của V là
A. 3,60.
B. 0,36.
C. 2,40.
D. 1,2.
Quảng cáo
4 câu trả lời 735
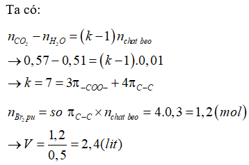
đáp án C
ncb=nco2-nh20/K-1 --->k=7
nbr2=ncb*(k-3)=1.2 mol
V=1.2/0,5=2,4
Quảng cáo
Bạn muốn hỏi bài tập?
Câu hỏi hot cùng chủ đề
Gửi báo cáo thành công!

