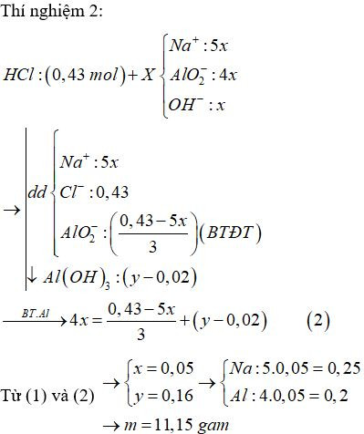
Hòa tan hoàn toàn m gam hỗn hợp Na và Al (tỉ lệ mol tương ứng là 5:4 ) vào nước, thu được dung dịch X . Cho từ từ dung dịch HCl 1M vào X , kết quả thí nghiệm được ghi ở bảng sau:
| Thể tích dung dịch (ml) | 210 | 430 |
| Khối lượng kết tủa (gam) | a | a - 1,56 |
Giá trị của m là:
A. 6,69
B. 6,15
C. 9,80
D. 11,15
Quảng cáo
2 câu trả lời 3504
Quảng cáo
Bạn cần hỏi gì?
Câu hỏi hot cùng chủ đề
-
Đã trả lời bởi chuyên gia
96145 -
Đã trả lời bởi chuyên gia
83786 -
Đã trả lời bởi chuyên gia
73477 -
Đã trả lời bởi chuyên gia
51724
Gửi báo cáo thành công!


