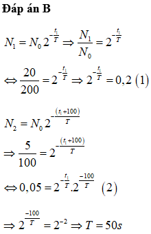
Một mẫu chất phóng xạ , sau thời gian còn 20% hạt nhân chưa bị phân rã. Đến thời điểm số hạt nhân chưa bị phân rã chỉ còn 5%. Chu kỳ bán rã của đồng vị phóng xạ đó là
A. 25 s
B. 50 s
C. 300 s
D. 400 s
Quảng cáo
2 câu trả lời 893
Quảng cáo
Bạn cần hỏi gì?
Câu hỏi hot cùng chủ đề
-
Đã trả lời bởi chuyên gia
153228 -
Đã trả lời bởi chuyên gia
130146 -
Đã trả lời bởi chuyên gia
111744 -
Đã trả lời bởi chuyên gia
106765 -
Đã trả lời bởi chuyên gia
71498
Gửi báo cáo thành công!

