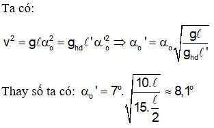
Vật nặng của một con lắc đơn có khối lượng 50g và mang điện tích đang dao động điều hòa với biên độ góc . Khi vật nặng đi qua vị trí cân bằng thì người ta giữ điểm chính giữa của dây treo đồng thời thiết lập một điện trường đều theo phương thẳng đứng hướng xuống với cường độ là Lấy . Biên độ góc của vật sau đó là
A.
B.
C.
D.
Quảng cáo
1 câu trả lời 3449
Quảng cáo
Bạn muốn hỏi bài tập?
Câu hỏi hot cùng chủ đề
-
153203
-
110953
-
106707
-
71461
Gửi báo cáo thành công!


