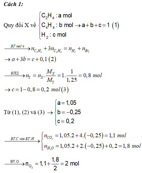
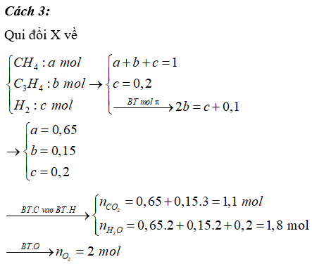
X là hỗn hợp gồm (propin); (vinylaxetylen) và . Dẫn 22,4 lít (đktc) hỗn hợp X qua Ni nung nóng được hỗn hợp Y có tỉ khối so với X là 1,25. Dẫn Y qua lượng dư dung dịch brom trong thấy có 16 gam phản ứng. Đốt cháy hoàn toàn Y cần vừa đủ x mol . Biết các phản ứng xảy ra hoàn toàn, giá trị x là
A. 2,05.
B. 1,75.
C. 1,92.
D. 2,00
Quảng cáo
1 câu trả lời 3362
Quảng cáo
Bạn cần hỏi gì?
Câu hỏi hot cùng chủ đề
-
Đã trả lời bởi chuyên gia
96145 -
Đã trả lời bởi chuyên gia
83786 -
Đã trả lời bởi chuyên gia
73477 -
Đã trả lời bởi chuyên gia
51724
Gửi báo cáo thành công!




