Võ Lê Việt Trinh
Hỏi từ APP VIETJACK
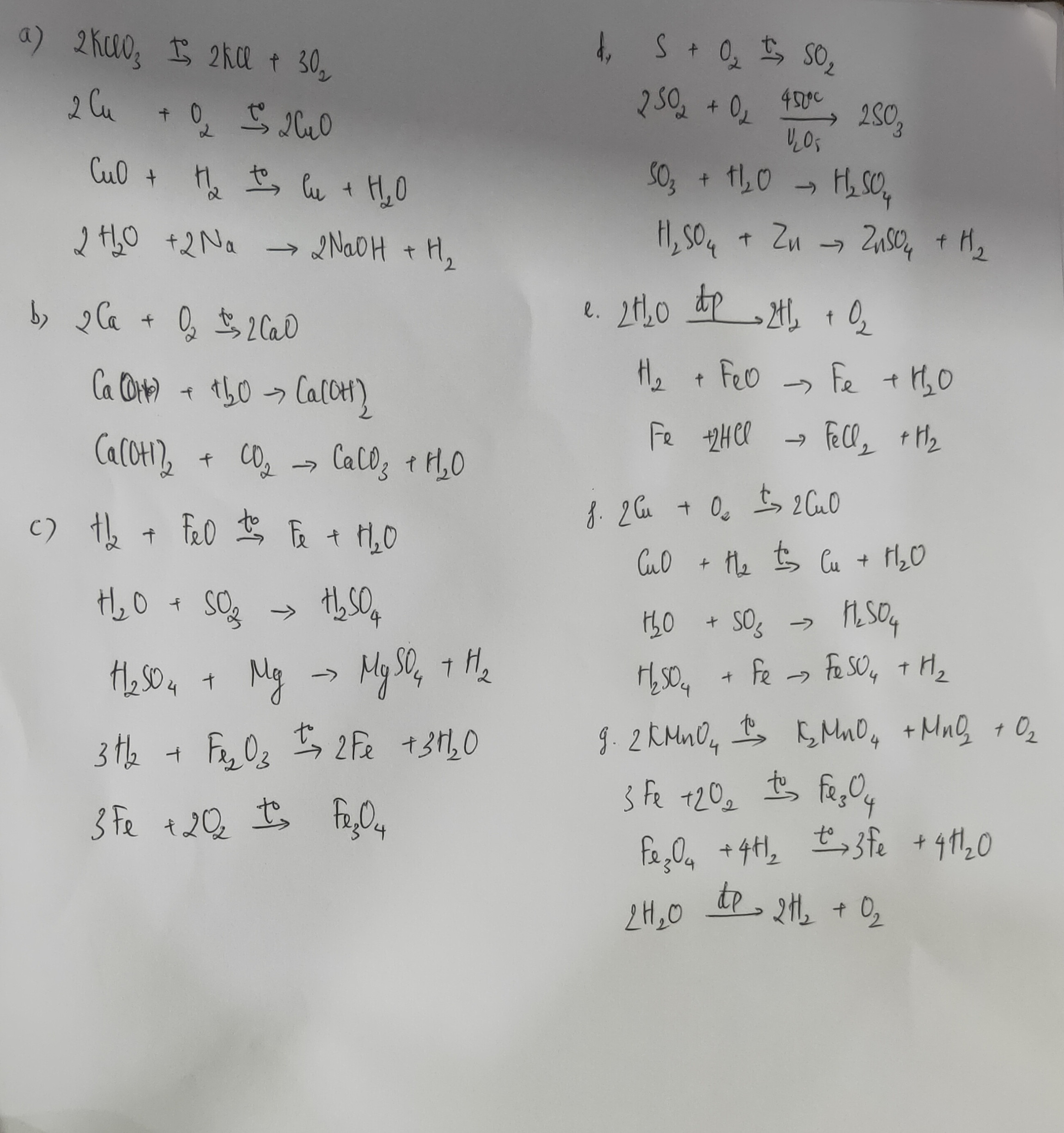
Viết PTHH thực hiện dãy chuyển hóa sau :
a.KClO3--->O2--->CuO--->H2O--->NaOH
b.Ca--->CaO--->Ca(OH)2--->CaCO3
c.H2--->H2O--->H2SO4--->H2--->Fe--->Fe3O4
d.S--->SO2--->SO3--->H2SO4--->ZnSO4
e.H2O--->H2--->Fe--->FeCl2
f.Cu--->CuO--->H2O--->H2SO4--->H2
g.KMnO4--->O2--->Fe3O4--->H2O--->H2
Quảng cáo
1 câu trả lời 2856
Quảng cáo
Bạn muốn hỏi bài tập?
Câu hỏi hot cùng chủ đề
-
25717
Gửi báo cáo thành công!

