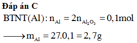
Đốt cháy hoàn toàn m gam Al trong khí dư, thu được 5,1 gam . Giá trị của m là
A. 3,6.
B. 5,4.
C. 2,7.
D. 4,8.
Quảng cáo
1 câu trả lời 3418
Quảng cáo
Bạn muốn hỏi bài tập?
Câu hỏi hot cùng chủ đề
Gửi báo cáo thành công!
Đốt cháy hoàn toàn m gam Al trong khí dư, thu được 5,1 gam . Giá trị của m là
A. 3,6.
B. 5,4.
C. 2,7.
D. 4,8.
Quảng cáo
Quảng cáo
Bạn muốn hỏi bài tập?