Quảng cáo
1 câu trả lời 1809
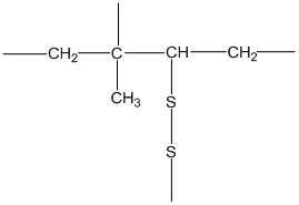
Đáp án A
phản ứng lưu hóa cao su thiên nhiên tạo ra các cầu nối –S–S– giữa các phân tử polime thành mạng lưới không gian (khâu mạch polime); xảy ra ở nhiệt độ khoảng 150oC, cấu trúc tại mắt xích có cầu nối như sau:

Quảng cáo
Bạn muốn hỏi bài tập?
Câu hỏi hot cùng chủ đề
Gửi báo cáo thành công!
