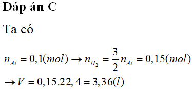
Cho 2,7 gam Al phản ứng hoàn toàn với dung dịch HCl dư, thu được V lít khí (đktc). Giá trị của V là
A. 4,48
B. 2,24
C. 3,36
D. 6,72
Quảng cáo
2 câu trả lời 549
4 năm trước
$#Nezuko$
Cho 2,7 gam Al phản ứng hoàn toàn với dung dịch HCl dư, thu được V lít khí H (đktc). Giá trị của V là
A. 4,48
B. 2,24
C. 3,36
D. 6,72
Quảng cáo
Bạn muốn hỏi bài tập?
Câu hỏi hot cùng chủ đề
Gửi báo cáo thành công!

