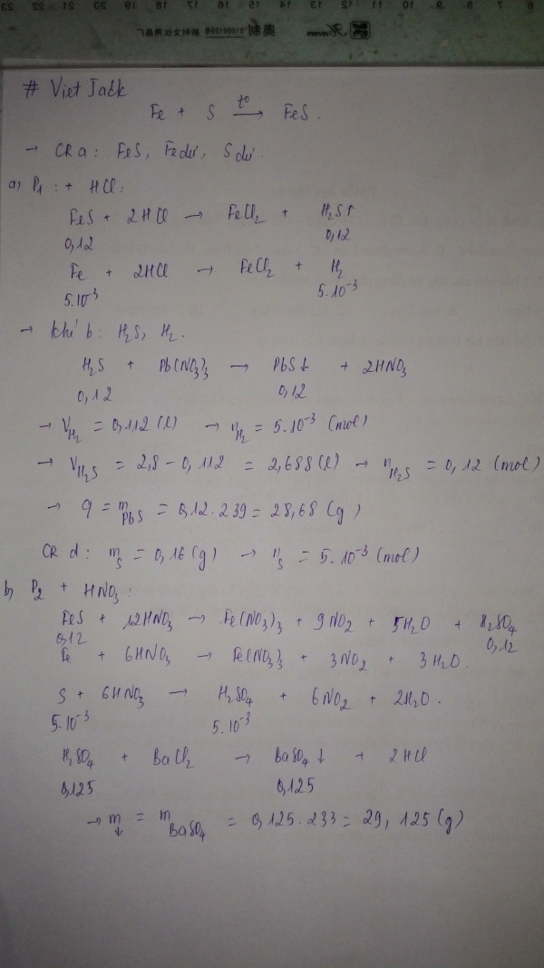
Nung p gam hỗn hợp Fe và S ( không có mặt oxi) một thời gian , sau đó làm nguội được hỗn hợp chất rắn a. nghiền nhỏ trộn đều a rồi chia thành hai phần bằng nhau.
a.Hòa tan phần một bằng dd hcl loãng, dư được 2.8 lít b ở đktc, dd c và 0.16 gam chất rắn d. cho khí b từ từ qua dung dịch pb(no3)2 thấy tạo thành q gam kết tủa và thấy thoát 0.112 lit khí ở đktc.xác định p,q.
b.Hòa tan hoàn toàn phần 2 bằng HNO3 đặc,nóng thu được dung dịch E và khí duy nhất màu nâu bay ra. Cho BaCl2 vào E. Tính khối lượng kết tủa
Quảng cáo
1 câu trả lời 696
Quảng cáo
Bạn cần hỏi gì?
Câu hỏi hot cùng chủ đề
-
Đã trả lời bởi chuyên gia
45540 -
Đã trả lời bởi chuyên gia
43612 -
Hỏi từ APP VIETJACK
Đã trả lời bởi chuyên gia
39357 -
Đã trả lời bởi chuyên gia
37056 -
Đã trả lời bởi chuyên gia
36413 -
Đã trả lời bởi chuyên gia
32526 -
Hỏi từ APP VIETJACK
Đã trả lời bởi chuyên gia
32372
Gửi báo cáo thành công!

