Cho phản ứng :
Số phân tử HNO3 đóng vai trò làm chất oxi hóa là?
A. 14
B. 10
C. 4
D. 12
Quảng cáo
1 câu trả lời 1640
5 năm trước
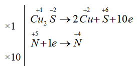
Đáp án B.
Cu2S + 14HNO3 → 2Cu(NO3)2 + H2SO4 + 10NO2 + 6H2O
Trong 14 phân tử HNO3 tham gia phản ứng, số phân tử HNO3 đóng vai trò làm chất oxi hóa là 10, còn 4 phân tử HNO3 đóng vai trò làm chất tạo môi trường.
Quảng cáo
Bạn muốn hỏi bài tập?
Câu hỏi hot cùng chủ đề
-
5347
-
5080
-
4759
Gửi báo cáo thành công!
