Trong mặt phẳng Oxy, cho hai đường tròn : (C1): x2+ y2= 13 và (C2): (x-6)2+ y2= 25 cắt nhau tại A(2;3).Viết phương trình tất cả đường thẳng d đi qua A và cắt 2 đường tròn theo hai dây cung có độ dài bằng nhau.
A.x-2= 0 và 2x- 3y+ 5= 0
B.x-2= 0 và 2x+ 3y -5= 0
C. x+2= 0 và 2x+ 3y -5= 0
D. Tất cả sai
Quảng cáo
1 câu trả lời 1931
Đáp án A
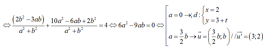
- Từ giả thiết : đường tròn (C1) tâm I(0;0); đường tròn (C2) tâm J( 6;0) và R’= 5
- Gọi đường thẳng d qua A có véc tơ chỉ phương:
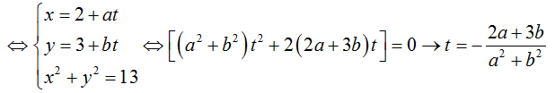
- d cắt (C1) tại A,B:
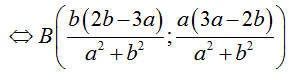
Tương tự d cắt (C2) tại A; C thì tọa độ của A; C là nghiệm của hệ :
- Nếu 2 dây cung bằng nhau thì A là trung điểm của A; C .Từ đó ta có phương trình :
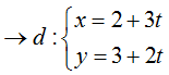
Vậy có 2 đường thẳng: d: x-2 = 0 và d’: 2x -3y + 5= 0.
Quảng cáo
Bạn muốn hỏi bài tập?
