Trong mặt phẳng với hệ toạ độ Oxy, cho đường tròn (C) có phương trình: Tia Oy cắt (C) tại A(0;2). Lập phương trình đường tròn (C’), bán kính R’= 2 và tiếp xúc ngoài với C tại A.
Quảng cáo
1 câu trả lời 2000
5 năm trước
Đáp án B
- Đường tròn (C) có tâm
và R= 4. Gọi J(a; b) là tâm đường tròn cần tìm:
=> (C’): (x-a)2+ (y- b)2= 4
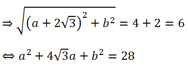
-Do (C) và (C’) tiếp xúc ngoài với nhau cho nên khoảng cách IJ= R+ R’
- Vì A(0;2) là tiếp điểm cho nên : (0-a)2+ (2-b)2 = 4 (2)
- Do đó ta có hệ :
- Giải hệ tìm được: b= 3 và
Quảng cáo
Bạn muốn hỏi bài tập?
Câu hỏi hot cùng chủ đề
Gửi báo cáo thành công!
