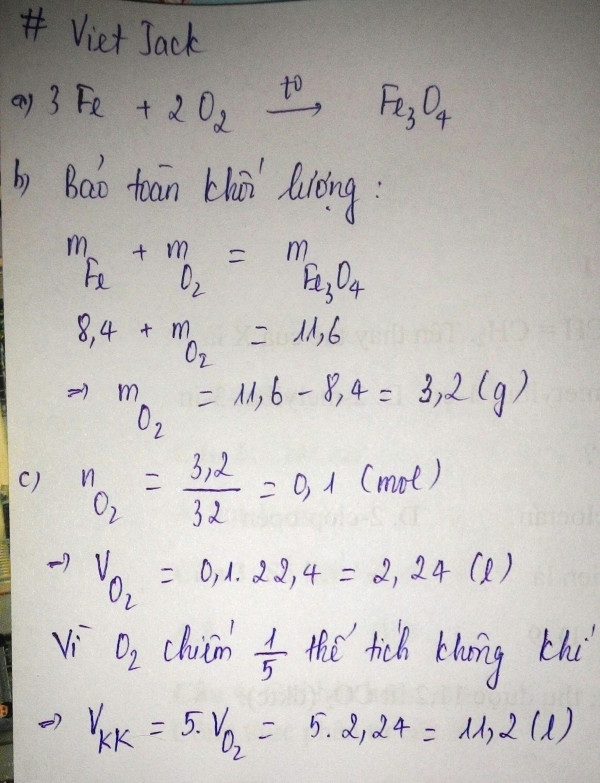
Đốt cháy hoàn toàn 8,4 gam bột sắt trong không khí thu được 11,6 gam sản phẩm duy nhất oxit sắt từ (F).
a. Viết phương trình hóa học xảy ra.
b. Tính khối lượng khí oxi cần dùng cho phản ứng trên.
c. Tính thể tích không khí chứa đủ lượng khí oxi trên.
Cho rằng khí oxi chiếm thể tích không khí và các khí đo ở điều kiện tiêu chuẩn.
Quảng cáo
1 câu trả lời 3992
Quảng cáo
Bạn cần hỏi gì?
Câu hỏi hot cùng chủ đề
-
Hỏi từ APP VIETJACK
Đã trả lời bởi chuyên gia
46555 -
Hỏi từ APP VIETJACK
Đã trả lời bởi chuyên gia
34404 -
Đã trả lời bởi chuyên gia
34108 -
Đã trả lời bởi chuyên gia
29359 -
Hỏi từ APP VIETJACK
Đã trả lời bởi chuyên gia
26508 -
Đã trả lời bởi chuyên gia
26152 -
Đã trả lời bởi chuyên gia
23240 -
Đã trả lời bởi chuyên gia
23180
Gửi báo cáo thành công!

