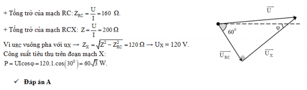
Đoạn mạch AM gồm điện trở thuần R và tụ điện mắc vào điện áp xoay chiều V thì cường độ dòng điện hiệu dụng qua AM là 1,25 A và dòng điện này lệch pha π/3 so với điện áp trên mạch AM. Mắc nối tiếp mạch AM với đoạn mạch X để tạo thành đoạn mạch AB rồi lại đặt vào hai đầu đoạn mạch điện áp u nói trên thì cường độ dòng điện hiệu dụng qua mạch là 1 A và điện áp hai đầu AM vuông pha với điện áp hai đầu X. Công suất tiêu thụ trên đoạn mạch X là:
A. 60W
B. 200 W
C. W
D. W
Quảng cáo
1 câu trả lời 349
Quảng cáo
Bạn cần hỏi gì?
Câu hỏi hot cùng chủ đề
-
Đã trả lời bởi chuyên gia
15535 -
Đã trả lời bởi chuyên gia
14984 -
Đã trả lời bởi chuyên gia
14455 -
Đã trả lời bởi chuyên gia
12755 -
Đã trả lời bởi chuyên gia
11550 -
Đã trả lời bởi chuyên gia
9190 -
Đã trả lời bởi chuyên gia
8840
Gửi báo cáo thành công!



