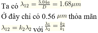
Trong giao thoa ánh sáng bằng khe Y-âng biết hai khe cách nhau 0,7 mm và có cùng khoảng cách đến màn quan sát là 2,1 m. Chiếu sáng hai khe bởi ánh sáng gồm hai thành phần đơn sắc có bước sóng λ1 = 0,42 μm và λ2. Người ta thấy khoảng cách từ vân trung tâm đến vân sáng cùng màu với nó và gần nhất là 5,04 mm. Bước sóng λ2 bằng:
A. 0,73 μm
B. 0,42 μm.
C. 0,64 μm
D. 0,56 μm.
Quảng cáo
1 câu trả lời 649
Quảng cáo
Bạn cần hỏi gì?
Câu hỏi hot cùng chủ đề
-
Đã trả lời bởi chuyên gia
71482 -
Đã trả lời bởi chuyên gia
24727 -
Đã trả lời bởi chuyên gia
21176 -
Đã trả lời bởi chuyên gia
20441 -
Đã trả lời bởi chuyên gia
18494 -
Đã trả lời bởi chuyên gia
16863 -
Đã trả lời bởi chuyên gia
16698 -
Đã trả lời bởi chuyên gia
14302 -
Đã trả lời bởi chuyên gia
13990
Gửi báo cáo thành công!
