Hai gương phẳng nhỏ M1 và M2 đặt lệch nhau một góc a = 12' (hệ gương phằng Fre-nen). Khoảng cách từ khe sáng hẹp S phát ánh sáng đơn sắc (bước sóng l = 0,55mm) và từ màn E đến giao tuyến I của hai gương lần lượt bằng r = 10cm và L = 1,3m. Biết rằng hệ hai gương phằng Fre-nen tương đương với hệ hai khe Y-âng. Tính sô vân sáng quan sát được trên màn E.
A. 9 vân sáng
B. 10 vân sáng
C. 12 vân sáng
D. 14 vân sáng
Quảng cáo
1 câu trả lời 165
Đáp án: A
Gọi S1, S2 là hai ảnh ảo của S tạo bởi hai gương phằng M1 và M2. Chùm tia xuất phát từ khe S sau khi phản xạ trên hai gương bị tách thành hai. Các chùm tia này giống như xuất phát từ S1 và S2. Các ảnh ảo S1, S2 là hai nguồn kết hợp.
Vì từ cùng một nguồn S tách thành hai nên các chùm tia sáng xuất phát từ S1 và S2 kết hợp với nhau và gây ra hiện tượng giao thoa. Vùng chung OMN của hai chùm chính là vùng giao thoa (Hình vẽ).
Vì góc a nhỏ, từ hình vẽ, ta có:
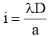
Khoảng vân: , với D = HO = IH + IO = L + r = 140cm. → i » 1,1mm.
Bề rộng của vùng giao thoa:
Số vân sáng quan sát được trên màn:
Quảng cáo
Bạn cần hỏi gì?
Câu hỏi hot cùng chủ đề
-
Đã trả lời bởi chuyên gia
71482 -
Đã trả lời bởi chuyên gia
24727 -
Đã trả lời bởi chuyên gia
21176 -
Đã trả lời bởi chuyên gia
20441 -
Đã trả lời bởi chuyên gia
18494 -
Đã trả lời bởi chuyên gia
16863 -
Đã trả lời bởi chuyên gia
16698 -
Đã trả lời bởi chuyên gia
14302 -
Đã trả lời bởi chuyên gia
13990
