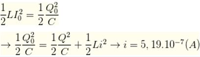
Một mạch dao động LC lí tưởng có L = 40mH, C = 25µF, điện tích cực đại của tụ q0 = 6.10-10C. Khi điện tích của tụ bằng 3.10-10 C thì dòng điện trong mạch có độ lớn.
A. 5. 10-7 A.
B. 6.10-7A.
C. 3.10-7 A.
D. 2.10-7A.
Quảng cáo
1 câu trả lời 2150
Quảng cáo
Bạn cần hỏi gì?
Câu hỏi hot cùng chủ đề
-
Đã trả lời bởi chuyên gia
66427 -
Đã trả lời bởi chuyên gia
58301 -
Đã trả lời bởi chuyên gia
57691 -
Đã trả lời bởi chuyên gia
45637 -
Đã trả lời bởi chuyên gia
45176 -
Đã trả lời bởi chuyên gia
31297 -
Đã trả lời bởi chuyên gia
30283 -
Đã trả lời bởi chuyên gia
27387
Gửi báo cáo thành công!
