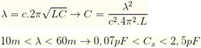
Mạch chọn sóng của một máy thu vô tuyến gồm cuộn cảm L = 0,4mH và một tụ xoay Cx. Biết rằng mạch này có thể thu được dải sóng ngắn có bước sóng từ λ1 = 10m đến λ2 = 60m. Miền biến thiên điện dung của tụ xoay Cx là:
A. 0,7pF ≤ Cx ≤ 25pF
B. 0,07pF ≤ Cx ≤ 2,5pF
C. 0,14pF ≤ Cx ≤ 5,04pF
D. 7pf ≤ Cx ≤ 252pF
Quảng cáo
1 câu trả lời 1240
Quảng cáo
Bạn cần hỏi gì?
Câu hỏi hot cùng chủ đề
-
Đã trả lời bởi chuyên gia
66427 -
Đã trả lời bởi chuyên gia
58301 -
Đã trả lời bởi chuyên gia
57691 -
Đã trả lời bởi chuyên gia
45637 -
Đã trả lời bởi chuyên gia
45176 -
Đã trả lời bởi chuyên gia
31297 -
Đã trả lời bởi chuyên gia
30283 -
Đã trả lời bởi chuyên gia
27387
Gửi báo cáo thành công!
