Một mạch dao động gồm cuộn dây có L = 0,2 H và tụ điện C = 10μF thực hiện dao động tự do. Biết cường độ cực đại trong khung là I0 = 12.10-3A. Khi cường độ dòng điện tức thời i = 0,01 A thì điện áp cực đại và điện áp tức thời giữa hai bản tụ lần lượt là:
A. 5,4 V; 2,94 V
B. 1,7 V; 0,94 V
C. 1,7 V; 20,0 V
D. 5,4 V; 0,90 V
Quảng cáo
1 câu trả lời 3384
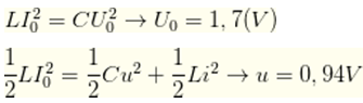
Chọn B
Khi cường độ dòng điện tức thời i = 0,01 A thì điện áp cực đại và điện áp tức thời giữa hai bản tụ lần lượt là:
Quảng cáo
Bạn cần hỏi gì?
Câu hỏi hot cùng chủ đề
-
Đã trả lời bởi chuyên gia
66427 -
Đã trả lời bởi chuyên gia
58301 -
Đã trả lời bởi chuyên gia
57691 -
Đã trả lời bởi chuyên gia
45637 -
Đã trả lời bởi chuyên gia
45176 -
Đã trả lời bởi chuyên gia
31297 -
Đã trả lời bởi chuyên gia
30283 -
Đã trả lời bởi chuyên gia
27387
Gửi báo cáo thành công!
