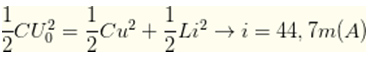
Một mạch dao động LC lí tưởng có C = 5 μF, L = 50 mH. Hiệu điện thế cực đại trên tụ là Umax = 6V. Khi hiệu điện thế trên tụ là U = 4V thì độ lớn của cường độ của dòng trong mạch là:
A. i = 4,47 (A)
B. i = 2 (A)
C. i = 2 m A.
D. i = 44,7 (mA)
Quảng cáo
1 câu trả lời 3133
Quảng cáo
Bạn cần hỏi gì?
Câu hỏi hot cùng chủ đề
-
Đã trả lời bởi chuyên gia
66427 -
Đã trả lời bởi chuyên gia
58301 -
Đã trả lời bởi chuyên gia
57691 -
Đã trả lời bởi chuyên gia
45637 -
Đã trả lời bởi chuyên gia
45176 -
Đã trả lời bởi chuyên gia
31297 -
Đã trả lời bởi chuyên gia
30283 -
Đã trả lời bởi chuyên gia
27387
Gửi báo cáo thành công!
