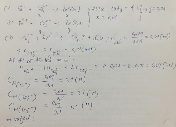
dung dịch a chứa các ion na+ ,so42-,co32-.khi cho 100ml dung dịch a tác dụng với một lượng dư ba(oh)2 thì thu được 4,3g chất kết tủa.mặt khác khi cho100ml dung dịch a tác dụng với h2so4 dư thì thu được 0,224l khí (đktc).tính nồng độ các ion trong dung dịch
Quảng cáo
1 câu trả lời 1506
Quảng cáo
Bạn cần hỏi gì?
Câu hỏi hot cùng chủ đề
-
Đã trả lời bởi chuyên gia
100924 -
Đã trả lời bởi chuyên gia
89518 -
Đã trả lời bởi chuyên gia
68620 -
Hỏi từ APP VIETJACK64714
-
Đã trả lời bởi chuyên gia
63714 -
Đã trả lời bởi chuyên gia
54972 -
Hỏi từ APP VIETJACK44820
-
Hỏi từ APP VIETJACK
Đã trả lời bởi chuyên gia
43103
Gửi báo cáo thành công!

