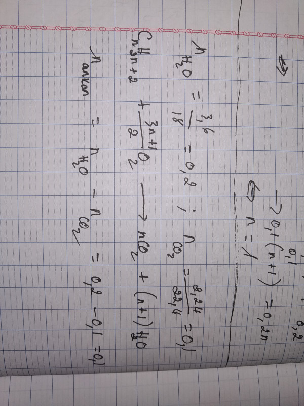
Đốt cháy hoàn toàn một ankan X thu được 2,24 lít khí CO2 đkc và 3,6 gam H2O số mol của ankan khi tham gia phản ứng cháy là
Quảng cáo
1 câu trả lời 3971
Quảng cáo
Bạn cần hỏi gì?
Câu hỏi hot cùng chủ đề
-
Đã trả lời bởi chuyên gia
104122 -
Đã trả lời bởi chuyên gia
89885 -
Đã trả lời bởi chuyên gia
68872 -
Hỏi từ APP VIETJACK64943
-
Đã trả lời bởi chuyên gia
64051 -
Đã trả lời bởi chuyên gia
55569 -
Hỏi từ APP VIETJACK45041
-
Hỏi từ APP VIETJACK
Đã trả lời bởi chuyên gia
43457
Gửi báo cáo thành công!

