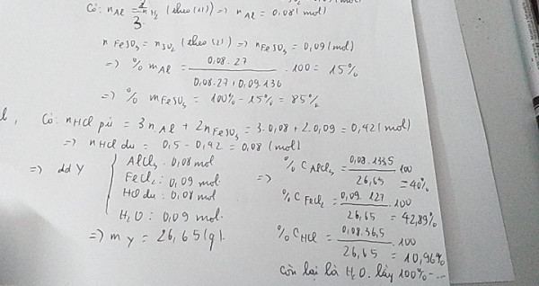
Hòa tan hoàn toàn m gam hỗn hợp x gồm Al và Fe SO3 vào 500 ml HCl 1M sau phản ứng thu được dung dịch y và 4,704 lít hỗn hợp khí Z có tỉ khối so với H2 là 100/7 a Tính % khối lượng mỗi chất trong x b Tính nồng độ mol các chất có trong dung dịch Y
Quảng cáo
2 câu trả lời 902
Quảng cáo
Bạn muốn hỏi bài tập?
Câu hỏi hot cùng chủ đề
-
45267
-
Hỏi từ APP VIETJACK31387
Gửi báo cáo thành công!


