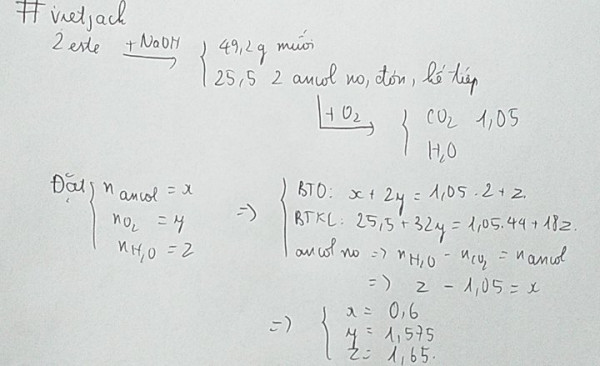
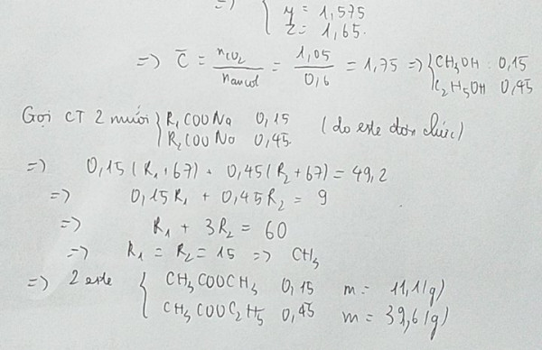
Thủy phân hoàn toàn 2 este đơn chức bằng NaOH vừa đủ thu được 49,2 g muối và 25,5g hai ancol no , đơn chức là đồng đẳng kế tiếp . Đốt cháy hoàn toàn ancol thu được 46,2 g CO2 . Xác định CTCT 2 este và tính khối lượng mỗi este trong hỗn hợp ban đầu .
Quảng cáo
2 câu trả lời 6008
Quảng cáo
Bạn muốn hỏi bài tập?
Câu hỏi hot cùng chủ đề
Gửi báo cáo thành công!


