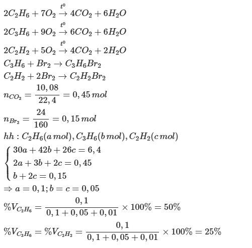
Hỗn hợp x gồm etan,propen và axetilen đốt cháy hoàn toàn 6.4gam hỗn hợp x thì thu được 10.08 lít CO2(dktc).mặt khác 6.4 x cũng phản ứng vừa đủ với dd chứa 24g Br2.tính% thể tích mỗi khí trong hỗn hợp x
A.viết các phương trình phản ứng xảy ra, tính phần trăm thể tích mỗi khi trong hỗn hợp đầu?
B.cho hốn hợp x trên qua dung dịch AgNO3/NH3 thì thu được bao nhiêu gam kết tủa
A.viết các phương trình phản ứng xảy ra, tính phần trăm thể tích mỗi khi trong hỗn hợp đầu?
B.cho hốn hợp x trên qua dung dịch AgNO3/NH3 thì thu được bao nhiêu gam kết tủa
Quảng cáo
1 câu trả lời 245
Quảng cáo
Bạn cần hỏi gì?
Câu hỏi hot cùng chủ đề
-
Hỏi từ APP VIETJACK
Đã trả lời bởi chuyên gia
88726 -
Hỏi từ APP VIETJACK74138
-
57220
-
Hỏi từ APP VIETJACK
Đã trả lời bởi chuyên gia
47834 -
Hỏi từ APP VIETJACK
Đã trả lời bởi chuyên gia
41540 -
Hỏi từ APP VIETJACK
Đã trả lời bởi chuyên gia
40069 -
Hỏi từ APP VIETJACK
Đã trả lời bởi chuyên gia
38165 -
Đã trả lời bởi chuyên gia
32555
Gửi báo cáo thành công!

