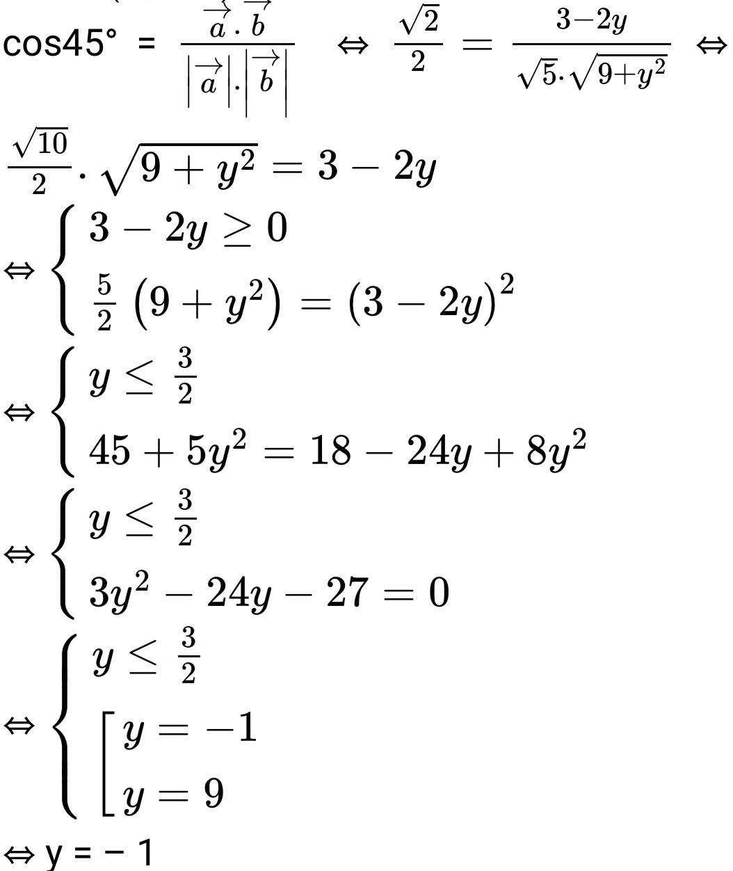
cho vecto a=(1;-2).Với giá trị nào của y thì vecto b=(3;y)tạo vecto a một góc 45 độ.
Quảng cáo
1 câu trả lời 570
Quảng cáo
Bạn cần hỏi gì?
Câu hỏi hot cùng chủ đề
-
Đã trả lời bởi chuyên gia
2264 -
Đã trả lời bởi chuyên gia
-
Đã trả lời bởi chuyên gia
Gửi báo cáo thành công!

