Một vật sáng AB có dạng mũi tên được đặt vuông góc với trục chính của một TKHT, cách TK 12cm, A nằm trên trục chính. TK có tiêu cực f=9cm. Vật AB cao 1cm.
a. Vẽ ảnh của vật AB theo đúng tỉ lệ.
b. Dựa vào hình vẽ hãy tính xem ảnh cao gấp bao nhiêu lần vật.
Quảng cáo
1 câu trả lời 895

b) Trên hình vẽ, xét hai cặp tam giác đồng dạng:
ΔABO và ΔA’B’O; ΔA’B’F’ và ΔOIF’.
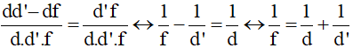
Từ hệ thức đồng dạng được:

Vì AB = OI (tứ giác BIOA là hình chữ nhật)

↔ dd' – df = d'f (1)
Chia cả hai vế của (1) cho tích d.d’.f ta được:

(đây được gọi là công thức thấu kính cho trường hợp ảnh thật)
Thay d = 16cm, f = 12cm ta tính được: OA’ = d’ = 48cm
Thay vào (*) ta được:

Ảnh cao gấp 3 lần vật.
Quảng cáo
Bạn muốn hỏi bài tập?
Câu hỏi hot cùng chủ đề
-
14140
