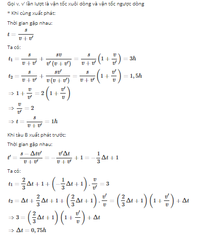
Giữa hai bến sông A B có hai tàu chuyển thư chạy thẳng đều. Tàu đi từ A chạy xuôi dòng, tàu đi từ B chạy ngược dòng. Khi gặp nhau và chuyển thư, mỗi tàu tức thì trở lại bến xuất phát. Nếu khởi hành cùng lúc thì tàu từ A đi và về mất 3h, tàu đi từ B đi và về mất 1,5h. Để thời gian đi và về của hai tàu là như nhau thì tàu từ A phải xuất phát muộn hơn tàu từ B bao lâu? Giải bằng đồ thị
Biết vận tốc của mỗi tàu đối với nước là như nhau và không đổi lúc đi cũng như lúc về. Khi xuôi dòng vận tốc dòng nc làm tàu chạy nhanh hơn khi ngược dòng.
Quảng cáo
1 câu trả lời 720
Quảng cáo
Bạn muốn hỏi bài tập?
Câu hỏi hot cùng chủ đề
-
20237
-
8995
-
5341
-
5174
-
2955
Gửi báo cáo thành công!

