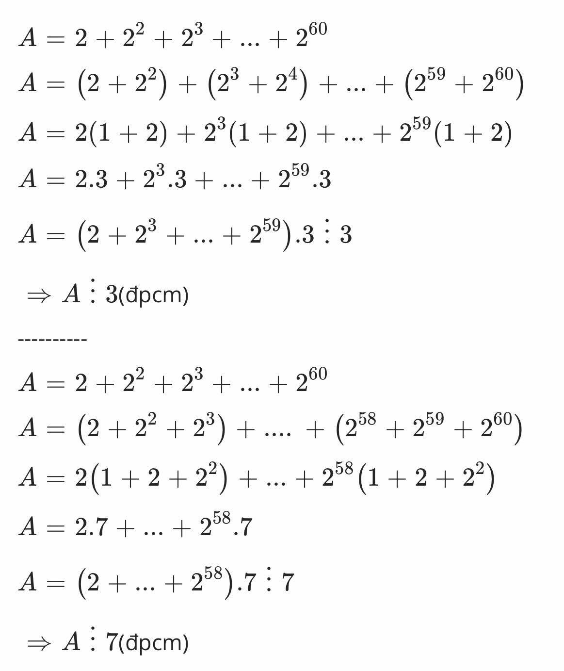
cho A = 2+22 + 23 ..... + 260
CHỨNG MINH RẰNG A CHIA HẾT CHO 3,7
Quảng cáo
2 câu trả lời 299
Quảng cáo
Bạn cần hỏi gì?
Câu hỏi hot cùng chủ đề
-
3672
-
Đã trả lời bởi chuyên gia
3439
Gửi báo cáo thành công!

