- Cho mạch điện có sơ đồ như hình vẽ. Trong đó: U=12V; R0=R2=2Ω; R1=4. Tìm R3 để :
a. Công suất của doạn mạch AB là lớn nhất
b. Công suất tiêu thụ trên R3 bằng 4,5W
c. Công suất tiêu thụ trên R3 lớn nhất. Tính công suất này.
Mạch được phân tích là: R0nt(R1//(R2ntR3))
Quảng cáo
2 câu trả lời 432
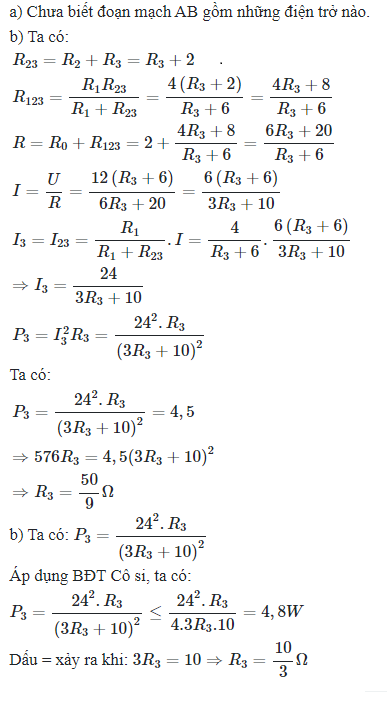
a) Chưa biết đoạn mạch AB gồm những điện trở nào.
b) Ta có:
\(\begin{array}{l}
{R_{23}} = {R_2} + {R_3} = {R_3} + 2\\
{R_{123}} = \dfrac{{{R_1}{R_{23}}}}{{{R_1} + {R_{23}}}} = \dfrac{{4\left( {{R_3} + 2} \right)}}{{{R_3} + 6}} = \dfrac{{4{R_3} + 8}}{{{R_3} + 6}}\\
R = {R_0} + {R_{123}} = 2 + \dfrac{{4{R_3} + 8}}{{{R_3} + 6}} = \dfrac{{6{R_3} + 20}}{{{R_3} + 6}}\\
I = \dfrac{U}{R} = \dfrac{{12\left( {{R_3} + 6} \right)}}{{6{R_3} + 20}} = \dfrac{{6\left( {{R_3} + 6} \right)}}{{3{R_3} + 10}}\\
{I_3} = {I_{23}} = \dfrac{{{R_1}}}{{{R_1} + {R_{23}}}}.I = \dfrac{4}{{{R_3} + 6}}.\dfrac{{6\left( {{R_3} + 6} \right)}}{{3{R_3} + 10}}\\
\Rightarrow {I_3} = \dfrac{{24}}{{3{R_3} + 10}}\\
{P_3} = I_3^2{R_3} = \dfrac{{{{24}^2}.{R_3}}}{{{{\left( {3{R_3} + 10} \right)}^2}}}
\end{array}\)
Ta có:
\(\begin{array}{l}
{P_3} = \dfrac{{{{24}^2}.{R_3}}}{{{{\left( {3{R_3} + 10} \right)}^2}}} = 4,5\\
\Rightarrow 576{R_3} = 4,5{\left( {3{R_3} + 10} \right)^2}\\
\Rightarrow {R_3} = \dfrac{{50}}{9}\Omega
\end{array}\)
b) Ta có: \({P_3} = \dfrac{{{{24}^2}.{R_3}}}{{{{\left( {3{R_3} + 10} \right)}^2}}}\)
Áp dụng BĐT Cô si, ta có:
\({P_3} = \dfrac{{{{24}^2}.{R_3}}}{{{{\left( {3{R_3} + 10} \right)}^2}}} \le \dfrac{{{{24}^2}.{R_3}}}{{4.3{R_3}.10}} = 4,8W\)
Dấu = xảy ra khi: \(3{R_3} = 10 \Rightarrow {R_3} = \dfrac{{10}}{3}\Omega \)
Quảng cáo
Bạn muốn hỏi bài tập?
Câu hỏi hot cùng chủ đề
-
11730

