Hoàimy Nguyễn
Hỏi từ APP VIETJACK
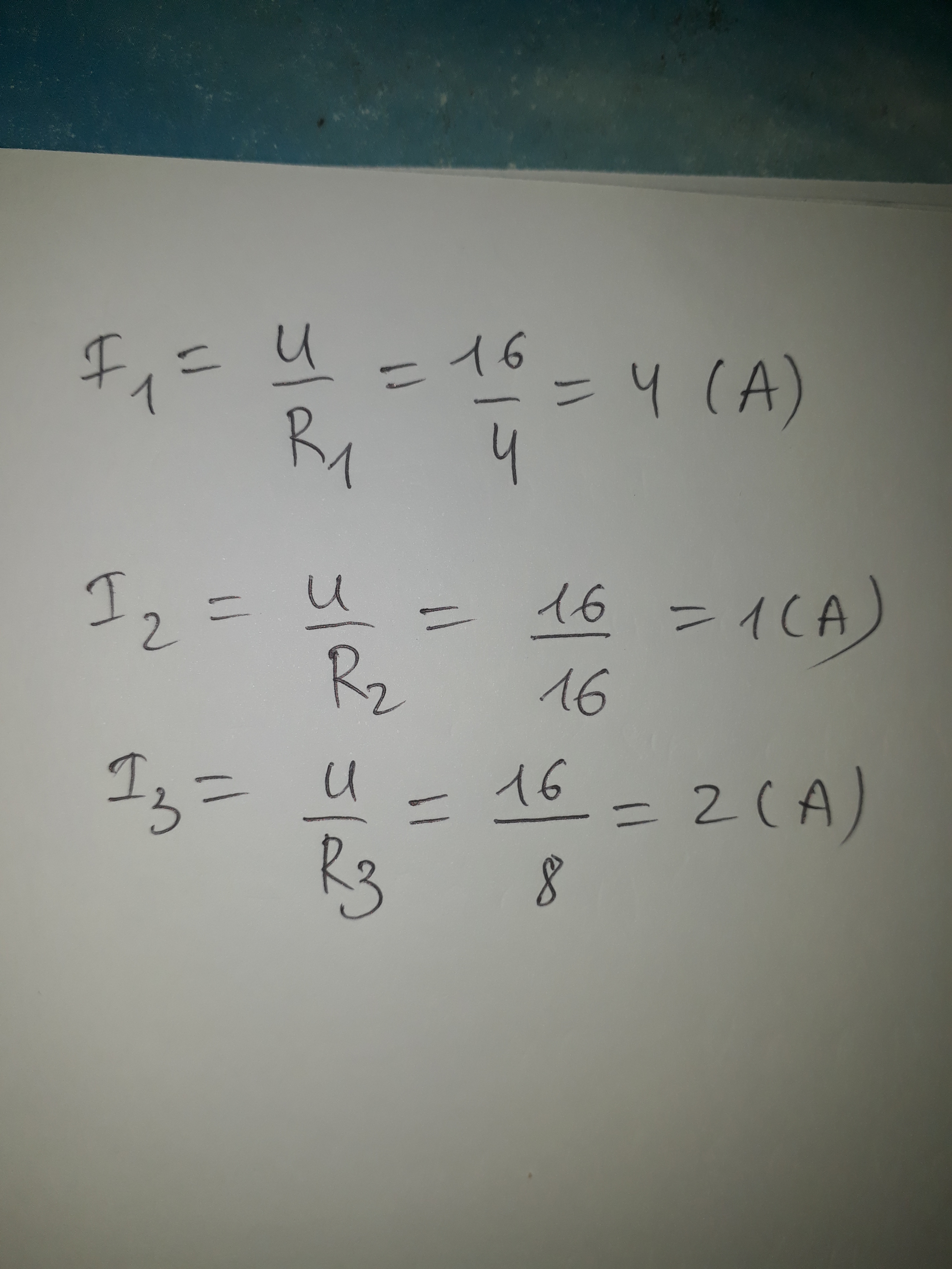
Ba điện trở R1=4ôm,R2=16ôm,R3=8ôm . Mắc song song với nhau vào 16V .I qua các điện trở có giá trị
Quảng cáo
1 câu trả lời 248
Quảng cáo
Bạn muốn hỏi bài tập?
Câu hỏi hot cùng chủ đề
-
94110
-
Hỏi từ APP VIETJACK75529
-
33599
-
29180
Gửi báo cáo thành công!


