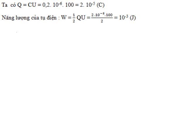
Một tụ điện có diện dung 0,2 uF được nạp điện đến hiệu diện thế 100V. Điện tích và năng lượng của tụ diện là
A. q 2.10°C; W= 10J. B. q =
2.10 C; W 10°J.
C.q 2.105C; W 2.10 J. D. q =
2.10° C; W= 2.10* J.
Quảng cáo
1 câu trả lời 7464
Quảng cáo
Bạn cần hỏi gì?
Câu hỏi hot cùng chủ đề
-
Đã trả lời bởi chuyên gia
126767 -
Đã trả lời bởi chuyên gia
67576 -
Hỏi từ APP VIETJACK
Đã trả lời bởi chuyên gia
64246 -
Đã trả lời bởi chuyên gia
59327 -
Đã trả lời bởi chuyên gia
47200
Gửi báo cáo thành công!

