Một bếp dầu A và hai ấm nước B,C làm bằng nhôm chứa nước cùng một nhiệt độ . Biết khối lượng của ấm là.m=0,5kg , của nước ở ấm B và C lần lượt là m1 và 2m1 . Nếu dùng bếp A để đun ám nước B thì sau thời gian t1=12 phút nước sôi . Nếu dùng bếp A để đun ấm nước C thì sau thời gian t2=20 phút nước sôi . Hãy xác định m1?
Quảng cáo
1 câu trả lời 13502
Giải chi tiết:
Công thức tính nhiệt lượng
Nhiệt lượng cần cung cấp để làm sôi một vật:
![]()
trong đó:
- Q là nhiệt lượng (J),
- m là khối lượng (kg),
- c là nhiệt dung riêng,
- là độ chênh lệch nhiệt độ.
Lập phương trình tỉ lệ nhiệt lượng
Nhiệt lượng cần để làm sôi ấm B:
![]()
Nhiệt lượng cần để làm sôi ấm C:
![]()
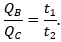
Tỉ lệ nhiệt lượng tương ứng với tỉ lệ thời gian:
![]()
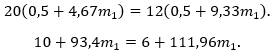
Thay các giá trị:
![]()
Rút gọn và tính toán
Rút gọn:

Thay
:
![]()
Quy đồng và giải:


Kết luận
Khối lượng nước trong ấm B là:
![]()
Quảng cáo
Bạn cần hỏi gì?
Câu hỏi hot cùng chủ đề
-
Đã trả lời bởi chuyên gia
94192 -
Hỏi từ APP VIETJACK
Đã trả lời bởi chuyên gia
75819 -
Đã trả lời bởi chuyên gia
51384 -
Đã trả lời bởi chuyên gia
33655 -
Đã trả lời bởi chuyên gia
29241
Gửi báo cáo thành công!

