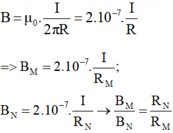
Hai điểm m và n nằm gần 1 dòng điện thẳng dài.Khoảng cách từ m đến dòng điện là 1 nửa khoảng cách từ n đến dòng điện.Độ lớn của cảm ứng từ tại m và n là Bm và Bn thì như thế nào?
Quảng cáo
1 câu trả lời 1326
Cảm ứng từ gây ra bởi dòng điện thẳng tại một điểm cách dòng điện một khoảng R là :

Theo đề: R(M) = 1/2R(N) ⇒ B(M) = 2B(N)
Quảng cáo
Bạn cần hỏi gì?
Câu hỏi hot cùng chủ đề
-
Đã trả lời bởi chuyên gia
126736 -
Đã trả lời bởi chuyên gia
67452 -
Hỏi từ APP VIETJACK
Đã trả lời bởi chuyên gia
64198 -
Đã trả lời bởi chuyên gia
59282 -
Đã trả lời bởi chuyên gia
47035
Gửi báo cáo thành công!
