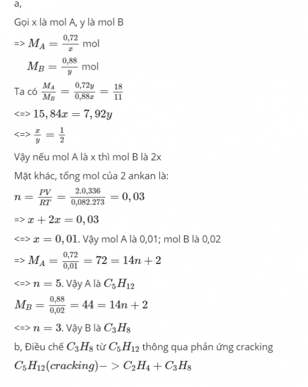
Tỷ khối hơi của Ankan A so với Ankan B d (A/B)=.
Lấy 0,72 gam A và 0,88 gam B cho vào bình kín có dung tích 336 ml ở 0°C thì áp suất là 2 arm.
a) Xác định CTPT A, B.
b) Viết các phản ứng điều chế B từ A.
Quảng cáo
2 câu trả lời 810
Quảng cáo
Bạn muốn hỏi bài tập?
Câu hỏi hot cùng chủ đề
-
10771
Gửi báo cáo thành công!

.
x