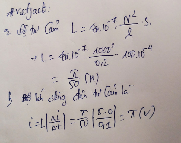
ống dây điện hình trụ có lõi chân không, chiều dài =20cm, N=1000 vòng, S=100cm^2
a. Tính độ tự cảm của ống dây
b. Dòng điện qua cuộn cảm đó tăng đều từ 0 đến 5A trong tg 0.1s, tính suất điện động tự cảm xuất hiện trong ống dây.
Quảng cáo
1 câu trả lời 1138
Quảng cáo
Bạn cần hỏi gì?
Câu hỏi hot cùng chủ đề
-
Đã trả lời bởi chuyên gia
126695 -
Đã trả lời bởi chuyên gia
67362 -
Hỏi từ APP VIETJACK
Đã trả lời bởi chuyên gia
64169 -
Đã trả lời bởi chuyên gia
59240 -
Đã trả lời bởi chuyên gia
46864
Gửi báo cáo thành công!

