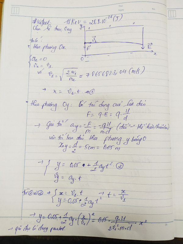
Chọn câu trả lời đúng Một tụ phẳng dài l =16cm có hai bản tụ cách nhau d =10cm ,tích điện đến hiệu điện thế U =9kV .Một electrôn bay vào điểm cách đều hai bản tụ và vuông góc với đường sức điện trường đều với động năng W1 =18keV ,biết khối lượng electrôn m = 9,1.10-31kg .Bỏ qua trọng lực a)Viết phương trình quỹ đạo của electron theo m,d ,U ,v1
b)Tìm độ lệch ngang h của electrôn khi ra khỏi tụ
c)xác định vận tốc v2 của electron khi vừa ra khỏi tụ(v2 và góc lệch a
Quảng cáo
2 câu trả lời 5555
a chỉ làm 1 ý thôi nhé
Ý b với c e có thể dựa vào điều kiện của x ,y để làm
Đỗ Tiến Hải
· 5 năm trước
Ừm a đổi ra jun luôn
Quảng cáo
Bạn cần hỏi gì?
Câu hỏi hot cùng chủ đề
-
Đã trả lời bởi chuyên gia
126767 -
Đã trả lời bởi chuyên gia
67576 -
Hỏi từ APP VIETJACK
Đã trả lời bởi chuyên gia
64246 -
Đã trả lời bởi chuyên gia
59327 -
Đã trả lời bởi chuyên gia
47200
Gửi báo cáo thành công!

