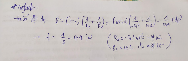
Thấu kính có chiết suất n= 1,5,giới hạn bởi một mặt lõm và một mặt lồi có bán kính lần lượt là 20cm và 10cm.Tiêu cự f của thấu kính là
Quảng cáo
2 câu trả lời 11731
Quảng cáo
Bạn cần hỏi gì?
Câu hỏi hot cùng chủ đề
-
Đã trả lời bởi chuyên gia
126767 -
Đã trả lời bởi chuyên gia
67576 -
Hỏi từ APP VIETJACK
Đã trả lời bởi chuyên gia
64246 -
Đã trả lời bởi chuyên gia
59327 -
Đã trả lời bởi chuyên gia
47200
Gửi báo cáo thành công!


