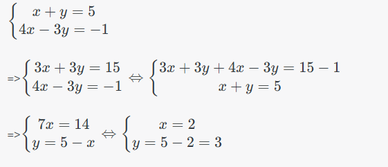
(x+y=5
(4x-3y=-1
Quảng cáo
2 câu trả lời 119
Quảng cáo
Bạn cần hỏi gì?
Câu hỏi hot cùng chủ đề
-
Đã trả lời bởi chuyên gia
9174 -
Đã trả lời bởi chuyên gia
7274 -
Đã trả lời bởi chuyên gia
6993 -
Đã trả lời bởi chuyên gia
6904 -
Đã trả lời bởi chuyên gia
5590 -
Đã trả lời bởi chuyên gia
5478 -
Đã trả lời bởi chuyên gia
5222
Gửi báo cáo thành công!

..