A) Tần số góc, chu kì, biên độ và pha ban đầu của dao động.b) Giá trị cực đại của vận tốc và gia tốc của vật khi dao động
c) Tìm tốc độ và gia tốc của vật khi nó ở vị trí có li độ x = A/2.
d) Tính tốc độ trung bình của chất điểm trong thời gian nó đã từ biên trái sang biên phải
Xin giúp với bạn
Quảng cáo
2 câu trả lời 2131
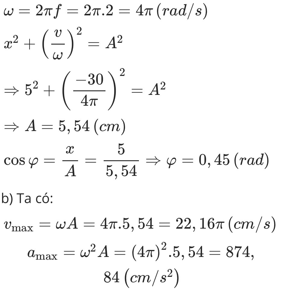
Để giải quyết bài toán này, chúng ta sẽ sử dụng các công thức liên quan đến dao động điều hòa. Đầu tiên, chúng ta cần xác định các thông số ban đầu:
1.Tần số góc (ω):
Tần số góc được tính bằng công thức: (\omega = 2\pi f), với (f) là tần số của dao động.
Trong trường hợp này, (f = 2) Hz, nên (\omega = 2\pi \times 2 = 4\pi) rad/s.
2.Chu kỳ (T):
Chu kỳ được tính bằng công thức: (T = \frac{1}{f}).
Trong trường hợp này, (T = \frac{1}{2}) s.
3.Biên độ (A):
Biên độ là khoảng cách lớn nhất mà vật dao động từ vị trí cân bằng. Trong trường hợp này, biên độ (A = 5) cm.
4.Pha ban đầu (φ):
Pha ban đầu là góc pha tại thời điểm ban đầu. Vì vật ở vị trí cực đại khi thời điểm ban đầu, nên pha ban đầu là 0.
5.Vận tốc và gia tốc:
Vận tốc và gia tốc của vật trong dao động điều hòa được tính theo các công thức sau:
6.Vận tốc: (v = A \omega \cos(\omega t + \phi))
7.Gia tốc: (a = -A \omega^2 \sin(\omega t + \phi))
Tốc độ và gia tốc khi (x = \frac{A}{2}):
Khi (x = \frac{A}{2}), ta cần tìm thời điểm (t) tương ứng. Sau đó, sử dụng công thức vận tốc và gia tốc để tính giá trị tương ứng.
Tốc độ trung bình:
Tốc độ trung bình được tính bằng tổng quãng đường đi chia cho thời gian đi. Trong trường hợp này, chúng ta cần tính tổng quãng đường đi từ biên trái sang biên phải và chia cho thời gian tương ứng.
Quảng cáo
Bạn cần hỏi gì?
Câu hỏi hot cùng chủ đề
-
Đã trả lời bởi chuyên gia
126778 -
Đã trả lời bởi chuyên gia
67587 -
Hỏi từ APP VIETJACK
Đã trả lời bởi chuyên gia
64256 -
Đã trả lời bởi chuyên gia
59344 -
Đã trả lời bởi chuyên gia
47225

