Một bóng đèn khi sáng bình thường có điện trở là R1 = 7,5 Ω và cường độ dòng điện chạy qua khi đó I = 0,6 A. Bóng đèn được mắc nối tiếp với biến trở và chúng được mắc vào hiệu điện thế U = 12 V. Phải điều chỉnh con chạy C để có giá trị bằng bao nhiêu để đèn sáng bình thường ?

Tóm tắt
Quảng cáo
1 câu trả lời 1227
Theo đầu bài:
Để đèn sáng bình thường ⇔ = 0,6 A.
Vì Đ nối tiếp với
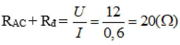
Áp dụng định luật ôm cho mạch nối tiếp ta có

⇒
Vậy phải điều chỉnh con chạy C sao cho thì khi đó đèn sẽ sáng bình thường.
Đáp án: RAC = 12,5 Ω
Quảng cáo
Bạn cần hỏi gì?
Câu hỏi hot cùng chủ đề
-
Đã trả lời bởi chuyên gia
94801 -
Hỏi từ APP VIETJACK
Đã trả lời bởi chuyên gia
78109 -
Đã trả lời bởi chuyên gia
51669 -
Đã trả lời bởi chuyên gia
34887 -
Đã trả lời bởi chuyên gia
31826
Gửi báo cáo thành công!

