Cho hai dây dẫn làm bằng nhôm có chiều dài tổng cộng là 55m, tiết diện dây thứ nhất bằng tiết diện dây thứ hai. Tính chiều dài mỗi dây. Biết khi mắc chúng nối tiếp với nhau vào nguồn điện có hiệu điện thế là 24V không đổi thì cường độ dòng điện qua mạch là 0,24A. Còn khi mắc chúng song song với nhau vào nguồn điện nói trên thì cường độ dòng điện qua mạch 1A.
Quảng cáo
1 câu trả lời 1561
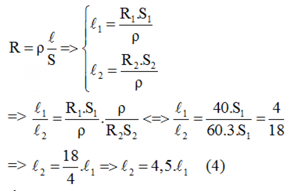
Tiết diện dây thứ nhất bằng tiết diện dây thứ hai ⇒
Khi mắc chúng nối tiếp vào U = 24V thì Int = 0,24A

Khi mắc chúng song song vào U = 24V thì I// = 1A

Từ (1) và (2) ta suy ra:

Giải (1) và (3) ta được: = 60 Ω
Ta có công thức:

Theo đề bài ta có: 
Thế (4) vào (5) ta được: 
Quảng cáo
Bạn cần hỏi gì?
Câu hỏi hot cùng chủ đề
-
Đã trả lời bởi chuyên gia
94801 -
Hỏi từ APP VIETJACK
Đã trả lời bởi chuyên gia
78109 -
Đã trả lời bởi chuyên gia
51669 -
Đã trả lời bởi chuyên gia
34887 -
Đã trả lời bởi chuyên gia
31826

