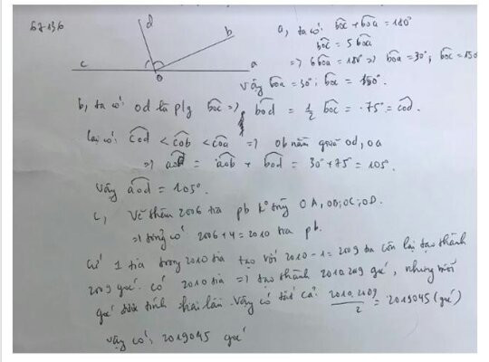
cho góc AOB và BOC là hai góc kề bù.Biết góc BOC =5.AOB
a/Tính số đo góc AOB và BOC
b/Gọi OD là tia phân giác của BOC.Tính số đo góc AOD.
c/Trên cùng nửa mặt phẳng bờ là đường thẳng AC chứa tia OB và OD,vẽ thêm n tia phân biệt (không trùng với các tia OA,OB,OC,OD).Trên hình vẽ có tất cả bao nhiêu góc.
Quảng cáo
1 câu trả lời 720
....
۩TonCENZO亗ツ
· 3 năm trước
tính đc r con ak
۩TonCENZO亗ツ
· 3 năm trước
chép mạng vl
Quảng cáo
Bạn cần hỏi gì?
Câu hỏi hot cùng chủ đề
-
Đã trả lời bởi chuyên gia
1891
Gửi báo cáo thành công!


