Cho mạch điện có sơ đồ như hình vẽ:
Trong đó có các điện trở = 10Ω . Dòng điện đi qua = 0,3A. Tính hiệu điện thế U giữa hai đầu đoạn mạch AB.
A. 6,5V
B. 2,5V
C. 7,5 V
D. 5,5V
Quảng cáo
1 câu trả lời 448
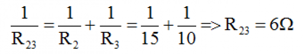
Điện trở tương đương của là:

Hiệu điện thế giữa hai đầu là:

Cường độ dòng điện qua là:

Cường độ dòng điện qua là:

Hiệu điện thế giữa hai đầu đoạn mạch AB là:![]()
→ Đáp án C
Quảng cáo
Bạn cần hỏi gì?
Câu hỏi hot cùng chủ đề
-
Đã trả lời bởi chuyên gia
94801 -
Hỏi từ APP VIETJACK
Đã trả lời bởi chuyên gia
78109 -
Đã trả lời bởi chuyên gia
51669 -
Đã trả lời bởi chuyên gia
34887 -
Đã trả lời bởi chuyên gia
31826
Gửi báo cáo thành công!

